自锁锚杆设计
一、技术与产品简介
自锁锚固技术是武大亚星官网周剑波教授原创,于1999年首次申请专利并与武汉大学联合研究推出的成套技术与产品。周剑波教授、高作平教授以及陈明祥教授团队潜心二十年持续研发,目前,亚星官网公司围绕自锁锚固技术与产品申报的专利已达百余项,主编了湖北省地方标准《岩石与混凝土自锁锚固技术规程》(DB42/T
1488-2018)和中国工程建设标准化协会标准《扩孔自锁锚固技术规程》(T/CECS 813-2021)。
亚星官网周氏自锁锚固产品的核心部分是扩孔自锁锚杆。扩孔自锁锚杆的施工工艺和锚固原理是:将基材(岩石或混凝土)上所钻的直孔底部,用特制的扩孔钻头扩成倒锥面或正锥面,然后将一端安装有未张开锚头的锚杆插至孔底,轴向加压使锚头张开与孔底锥面贴紧,利用锚头与孔壁的机械咬合力(即“自锁”)和锚杆锚固段注胶(浆)后的沿程摩阻力来提供锚固力。
采用扩孔自锁锚杆,使被锚固体与基材连为整体,能充分发挥锚固力大的优势,减小锚固段长度,且锚固可靠。另外相较于化学植筋,自锁锚杆具有耐久性强、耐高温、耐腐蚀的优势。自锁锚固技术开发二十多年来,扩孔自锁锚杆在建筑物改造加固地下工程抗浮、桥台锚固、铁轨锚固、水工结构、风电工程等诸多领域累计应用数百万支,增加建筑物安全,缩短工期,救灾抢险,节省投资获得了良好的社会经济效益,有望在中国和世界范围内取代化学植筋,促成建筑物改造产业的革命性进步!
二、锚固原理
锚固原理:利用内锚头扩大后与孔壁的机械咬合力和锚杆直线段注浆后的沿程摩阻力来提供锚固力。
三、设计方法
(一)替代化学植筋自锁锚杆设计
1、扩孔自锁锚杆在不同强度等级混凝土基材锚固深度表
|
锚杆型号 |
不同强度等级混凝土基材对应自锁锚杆的锚固深度(mm) |
产品锚固深度(mm) |
|||||||||
|
C15 |
C20 |
C25 |
C30 |
C35 |
C40 |
C45 |
C50 |
C55 |
C60 |
||
|
JCZ-ZS-ZT-12 |
|
|
|
|
127 |
121 |
119 |
115 |
111 |
108 |
216 |
|
JCZ-ZS-ZT-14 |
|
|
|
|
156 |
149 |
146 |
141 |
137 |
133 |
252 |
|
JCZ-ZS-ZT-16 |
|
|
|
|
192 |
184 |
180 |
174 |
168 |
163 |
288 |
|
JCZ-ZS-ZT-18 |
|
|
|
|
220 |
210 |
206 |
199 |
192 |
187 |
324 |
|
JCZ-ZS-ZT-20 |
|
|
|
|
259 |
247 |
242 |
234 |
226 |
220 |
360 |
|
JCZ-ZS-ZT-22 |
395 |
359 |
333 |
314 |
298 |
285 |
279 |
269 |
261 |
253 |
396 |
|
JCZ-ZS-ZT-25 |
438 |
398 |
369 |
347 |
330 |
316 |
309 |
298 |
289 |
280 |
450 |
|
JCZ-ZS-ZT-28 |
521 |
474 |
440 |
414 |
393 |
376 |
368 |
355 |
344 |
334 |
616 |
|
JCZ-ZS-ZT-32 |
596 |
542 |
503 |
473 |
449 |
430 |
420 |
406 |
393 |
382 |
704 |
|
JCZ-ZS-ZT-36 |
766 |
696 |
646 |
608 |
577 |
552 |
540 |
522 |
505 |
491 |
792 |
注:本表计算深度满足HRB400钢筋接长的受力要求。
上表中基材锚固深度按照不发生基材破坏计算,同时满足公式1-2的要求
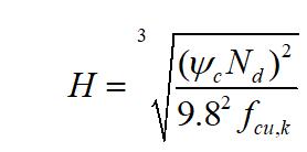
(1)混凝土锚杆杆体基本锚固深度按下列公式计算:
式中:H —— 混凝土锚杆的基本锚固深度;
Nd —— 锚杆抗拉承载力设计值(kN);
Ψc —— 混凝土锥体破坏受拉承载力安全系数,取2;
fcu,k —— 混凝土立方体抗压强度标准值(kPa),当fcu,k >45N/mm2时,应乘降低系数0.95。
(2)扩孔自锁锚杆的锚固段受拉承载力应按下式计算:
Nd ≤Nt1 + Nt2
式中:Kc —— 锚杆承载力计算安全系数,对于结构构件取2,对于非结构构件取1.7;
Nt1 —— 锚固段中的直孔段注浆料的粘结锚固力设计值(kN);
Nt2 —— 内锚头的自锁锚固力设计值(kN)。
锚固段中的直孔段注浆料的粘结锚固力设计值为下列两个公式中的较小值:
Nt1 = π D f mck Ψ La /2
Nt1 = π d f msk Ψ La /2
内锚头的自锁锚固力设计值为:
Nt2 = 1.8 βc βl f ck Aln
式中:d —— 锚杆杆体直径(m);
D —— 直孔孔径(m);
La —— 锚固长度(m);
fmck —— 锚固段注浆体与混凝土的粘结强度标准值(kPa);
Ψ —— 锚固长度对粘结强度的影响系数,混凝土锚杆Ψ值可取1。
Aln —— 混凝土局部受压垂直投影面积(m2);
βc —— 混凝土强度影响系数,当混凝土强度等级不超过C30时,取1.0;
当混凝土强度等级为C60时,取0.6;期间采用线性内插法确定。
βl —— 局部受压时的强度提高系数,取3。
2、扩孔自锁锚杆承载力表
|
自锁锚杆型号 |
锚杆杆体直径(mm) |
锚杆有效截面面积(mm2) |
直孔孔径(mm) |
扩孔孔径(mm) |
受拉承载力标准值(kN) |
抗拉承载力设计值(kN) |
抗剪承载力标准值(kN) |
抗剪承载力设计值(kN) |
|
|
JCZ-ZS-MG-12 |
12 |
84.3 |
18 |
22 |
53.95 |
41.50 |
21.58 |
16.60 |
|
|
JCZ-ZS-MG-14 |
14 |
115 |
20 |
26 |
73.60 |
56.62 |
29.44 |
22.65 |
|
|
JCZ-ZS-MG-16 |
16 |
157 |
22 |
30 |
100.48 |
77.29 |
40.19 |
30.92 |
|
|
JCZ-ZS-MG-18 |
18 |
192 |
25 |
34 |
122.88 |
94.52 |
49.15 |
37.81 |
|
|
JCZ-ZS-MG-20 |
20 |
245 |
25 |
38 |
156.80 |
120.62 |
62.72 |
48.25 |
|
|
JCZ-ZS-MG-22 |
22 |
303 |
25 |
42 |
193.92 |
149.17 |
77.57 |
59.67 |
|
|
JCZ-ZS-MG-25 |
25 |
353 |
30 |
48 |
225.92 |
173.78 |
90.37 |
69.51 |
|
|
JCZ-ZS-MG-28 |
28 |
459 |
35 |
54 |
293.76 |
225.97 |
117.50 |
90.39 |
|
|
JCZ-ZS-MG-32 |
32 |
561 |
38 |
62 |
359.04 |
276.18 |
143.62 |
110.47 |
|
|
JCZ-ZS-MG-36 |
36 |
817 |
40 |
70 |
522.88 |
402.22 |
209.15 |
160.89 |
注:本表锚杆按8.8级钢计算。
上表中承载力设计值均按结构构件计算,且剪力计算考虑无杠杆臂情况。
(1)混凝土锚杆杆体受拉承载力应按下式计算:
Ns,d≤Nd
Nd ≤Asfy
式中:Ns,d —— 锚杆拉力设计值(kN);
Nd —— 锚杆抗拉承载力设计值(kN);
fsk —— 锚杆杆体材料抗拉屈服强度标准值(kPa),对普通锚杆,fsk= fyk/Ks ;对预应力锚杆,fsk= fpyk;
As —— 锚杆杆体有效截面面积(m2);
Ks —— 锚杆杆体受拉破坏安全系数,对于结构构件取1.3,对于非结构构件取1.2。
(2)扩孔自锁锚杆抗剪承载力计算:
考虑群锚效应,扩孔自锁锚杆抗剪承载力标准值Nvk=0.8×0.5×Nuak ,抗剪承载力设计值Nvd=0.8×0.5×Nd ;对于断后伸长率不大于8%的锚杆,抗震设计时应乘以0.8的降低系数。
(3)本设计方法依据概率极限状态设计法计算,主要参考《混凝土结构加固设计规范》(GB
50367)、《混凝土结构后锚固技术规程》(JGJ 145)和《岩石与混凝土自锁锚固技术规程》(DB42/T 1488),应用在其他行业,可参考相关行业标准及规程规范。
(二)抗浮自锁锚杆设计
1、整体抗浮计算
(W+G)/Ff≥K
Ff—地下水浮力标准值,Ff=![]()
A—基地面积
△H—抗浮水位与建筑物基底标高差
W—基础底面以下抗浮锚杆范围内土体总重量,计算时取浮容重。
G—上部结构自重及其他永久荷载标准值(地下室面层、顶板覆土等)
K—结构抗浮稳定系数,此处取K=1.05
2、扩孔自锁锚杆的锚固段承载力应按下式计算:
KrNtk≤Nt1k+ Nt2k
式中:Kr —— 锚杆锚固体承载力计算安全系数,取2;
Ntk —— 锚杆承载力特征值(kN);
Nt1k —— 锚固段中的直孔段注浆料的粘结锚固力标准值(kN);
Nt2k —— 内锚头的自锁锚固力设计值(kN)。
锚固段中的直孔段注浆料与岩体之间粘结锚固力标准值为:
Ntk1 = π D f mck Ψ La
内锚头的自锁锚固力标准值为:
Ntk2 = αl βr βl frk Aln
式中:αl —— 岩石围压放大系数,取2.6;
D —— 锚杆锚固体直径(m);
D+ —— 锚杆孔底部扩孔直径(m);
fmck —— 锚固段注浆体与岩体的粘结强度标准值(kPa);
Ψ —— 锚固长度对粘结强度的影响系数,岩石锚杆Ψ值可按下表取值。
La —— 锚杆锚固段中直孔段注浆体长度(m);
Aln —— 岩石局部受压垂直投影面积(m2);
βr —— 岩石抗压强度影响系数,当混岩石饱和单轴抗压强度等级不小于
30MPa时,取1.0,当岩石饱和单轴抗压强度等级不小于60Mpa时,
取0.8,期间采用线性内插法确定;当混凝土强度等级为C60时,
取0.6;期间采用线性内插法确定。
βl —— 局部受压时的强度提高系数,取3。
frk —— 岩石饱和单轴抗压强度标准值(kPa);
3、岩石抗浮锚杆杆体受拉承载力应按下式计算:
Ns,d≤Nd
Nd ≤Asfyξ
式中:Ns,d —— 荷载效应基本组合下锚杆拉力设计值(kN),Ns,d =1.35Ntk;
Nd —— 锚杆抗拉承载力设计值(kN);
fpy —— 锚杆杆体材料抗拉强度设计值(kPa);
ξ —— 锚杆抗拉工作条件系数,取0.8;
As —— 锚杆杆体有效截面面积(m2);
四、 典型工程应用
(一)替代化学植筋自锁锚杆工程应用
1、潮湿环境应用
图1 三棵松隧洞混凝土衬砌板加固工程
2、高温环境应用
图2 高义钢铁厂连铸车间柱包钢加固工程
3、高频振动及高温环境应用
图3 沙隆达发电公司汽机基础加固改造工程
(二)抗浮自锁锚杆工程应用
贵阳保利大厦地下室抗浮锚杆工程:采用直径32mm精轧螺纹钢筋自锁锚杆进行抗浮处理,锚杆长7米,锚头入岩3米,单根抗浮锚杆抗拔承载力特征值320kN。
图4 贵阳保利大厦地下室抗浮锚杆工程
(三)预应力自锁锚杆工程应用
1、高铁无砟轨道板预应力瞬时自锁:地下水造成无砟轨道板上浮,采用瞬时预应力自锁锚固技术36小时完成约200m施工段。

图5 高铁无砟轨道板预应力瞬时自锁锚固工程
2、丹江口大坝加高加固多层预应力自锁:大坝闸墩三重自锁锚固,施加200t预应力,每个闸墩5根锚杆,共计20个闸墩。

图6 丹江口大坝加高加固多层预应力自锁锚固工程
3、风机基础锚固:采用预应力自锁锚杆,风机基础结构得到优化,降低施工成本。
图7 风机基础锚固工程
五、下载中心
1、替代化学植筋计算案例 /wcs/Upload/202006/5ee04654b25b4.pdf
2、抗浮锚杆计算案例/wcs/Upload/202006/5ee04667da266.pdf
3、抗浮锚杆施工图/wcs/Upload/202006/5ee0467eb2974.pdf


